







北京航空航天大学
外国语学院
2025推免
拟录取名单
💡添加弦儿学姐的微信
✨备注“保研群—大一/大二/大三”
弦儿学姐加你进英专保研交流群!
不错过任何一条保研信息✉️


推免拟录取名单

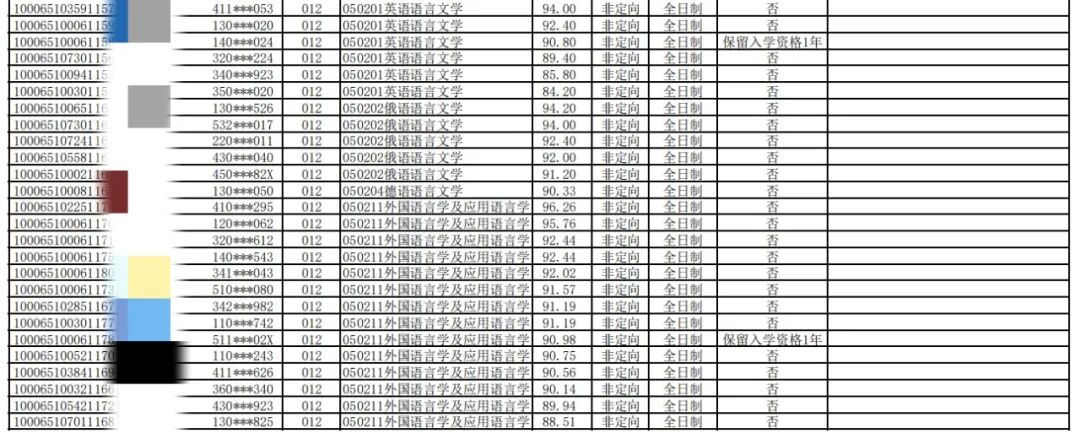
根据教育部、北京市相关文件要求,经各单位研究生招生工作小组审核,现将北京航空航天大学接收推荐免试攻读2026年研究生拟录取名单进行统一公示,公示期为10月22日至10月28日。公示期间,考生若有问题,可向我校研招办反映,电话010-82317637,邮箱yzb@buaa.edu.cn。
特别提示:此名单为拟录取名单,须上报北京教育考试院和教育部审核。凡参加全国统考、未按要求交送所需相关材料、2026年入学报到前未取得国家承认的本科毕业证书或者弄虚作假一经查实的考生,其录取资格无效。
🎉拟录取人数🎉
【英语语言文学】6人
【俄语语言文学】5人
【德语语言文学】1人
【外国语言学及应用语言学】15人
【英语笔译】8人


原文链接:
https://yzb.buaa.edu.cn/info/1036/3445.htm
END
✨2026拟录取名单11 | 武汉大学外国语言文学学院2026年接收推荐免试硕士研究生拟录取名单公示
✨2026拟录取名单12 | 吉林大学外国语言文化学院接收2026年推免研究生拟录取名单
✨2026拟录取名单13 | 南京航空航天大学外国语学院2026年拟录取推荐免试研究生名单公示
✨2026拟录取名单14 | 电子科技大学外国语学院2026年接收优秀应届本科毕业生免试攻读研究生拟录取名单公示
✨2026拟录取名单15 | 郑州大学外国语与国际关系学院2026年推荐免试研究生(含直博生)拟录取名单公示
✨2026拟录取名单16 | 东华大学外语学院2026年接收推荐免试研究生拟录取名单公示
✨2026拟录取名单17 | 南昌大学外国语学院2026年接收推荐免试研究生拟录取名单公示
✨2026拟录取名单18 | 北京大学外国语学院2026年接收推荐免试研究生拟录取名单公示
✨2026拟录取名单19 | 山东大学外国语学院2026年接收推荐免试研究生拟录取名单公示
✨2026拟录取名单20 | 中国石油大学(北京)外国语学院2026年接收推荐免试研究生拟录取名单公示
✨2026拟录取名单21 | 中南财经政法大学外国语学院2026年接收推荐免试研究生拟录取名单公示
✨2026拟录取名单22|中国传媒大学2026年接收推荐免试攻读硕士学位研究生拟录取名单
✨2026拟录取名单23|关于公布北京语言大学2026年硕士推免生(含直博)拟录取名单的通知
✨2026拟录取名单24|华东政法大学2026年推荐免试攻读硕士学位研究生拟录取名单公示
✨2026拟录取名单25|东北大学2026年接收推荐免试研究生拟录取名单公示
✨2026拟录取名单26 | 厦门大学外文学院2026年接收推荐免试研究生拟录取名单公示
✨2026拟录取名单27 | 北京林业大学外语学院2026年接收推荐免试研究生拟录取名单公示
✨2026拟录取名单28 | 安徽大学外语学院2026年接收推荐免试研究生拟录取名单公示
✨2026拟录取名单29 | 贵州大学外国语学院2026年接收推荐免试研究生拟录取名单公示
✨2026拟录取名单30 | 太原理工大学文法与外语学院2026年接收推荐免试研究生拟录取名单公示
✨2026拟录取名单31|北京交通大学语言与传播学院2026年推免生拟录取名单公示通知
✨2026拟录取名单32|西安电子科技大学外国语学院2026年推荐免试研究生拟录取名单公示
✨2026拟录取名单33|2026年上海师范大学外国语学院拟录取推免生名单公示
✨2026拟录取名单34|中国矿业大学(北京)外国语学院2026年推免生拟录取名单公示
✨2026拟录取名单35|中国石油大学(华东)外国语学院2026年推荐免试研究生拟录取名单公示
✨2026拟录取名单36 | 华东师范大学外语学院2026年接收推荐免试研究生拟录取名单公示
✨2026拟录取名单37 | 四川大学外国语学院2026年接收推荐免试研究生拟录取名单公示
✨2026拟录取名单38 | 东北师范大学外国语学院2026年接收推荐免试研究生拟录取名单公示
✨2026拟录取名单39 | 上海大学外国语学院2026年接收推荐免试研究生拟录取名单公示
✨2026拟录取名单40 | 南京邮电大学外国语学院2026年接收推荐免试研究生拟录取名单公示
✨2026拟录取名单41 | 深圳大学外国语学院2026年接收推荐免试研究生拟录取名单公示
✨2026拟录取名单42 | 东南大学外国语学院2026年接收推荐免试研究生拟录取名单公示
✨2026拟录取名单43 | 西南大学外国语学院2026年接收推荐免试研究生拟录取名单公示
✨2026拟录取名单44 | 西南大学教师教育学院2026年接收推荐免试研究生拟录取名单公示
✨2026拟录取名单45 | 华东理工大学外国语学院2026年接收推荐免试研究生拟录取名单公示
✨2026拟录取名单46 | 湘潭大学外国语学院2026年接收推荐免试研究生拟录取名单公示
✨2026拟录取名单47 | 曲阜师范大学翻译学院&外国语学院2026年接收推荐免试研究生拟录取名单公示

文案:转载
排版:嘟嘟
审校:弦儿
责编:弦儿、阿九

