一、今年命题特点和难度:1.主观题分值比重较去年再度提高,对基础知识的背诵要求更高去年2025年考研调整了题型和分值,整体变化是主观题从110分提高到120分,同时简答题和名词解释的单题分值提高,减少了计算题的题量,对主观题的背诵要求提高。今年延续去年的真题改革思想,进一步缩减计算题题量,从3道降为2道,单题分值从10分提升至12分,论述题单题分值从12分提高至14分,此番调整,使得主观题总分从120分提高至126分,不难看出,近几年的出题趋势就是增加主观题的分值,对计算题的考查要求降低,要求考生立足于课本、课程中的基础知识,加强主观题理解背诵能力,这也是未来的出题趋势。从今年试卷整体难度上来看,自去年进行题型改革后,难度再下一个阶梯,超过九成的题目均能在基础/强化/冲刺课程中能找到出处,与课件 “主观冲刺背诵手册”、“基础/冲刺课程课件” 的训练重点高度契合,直接考查对核心知识点的记忆与整合能力。今年考查到的热点部分“稳定币”也是武玄宇老师课程中提到的今年重要热点,并且在学长的主观题复习预测课中也着重强调了该热点考查概率较大。所以,对于基础知识的整体把握,决定了九成的分数,对于热点内容的掌握,有武玄宇老师的保驾护航,答题也会轻松很多。今年的真题重复率非常之高,名词解释中除了信用风险、简答题除了货币局制度之外,均为历年真题重复考查,计算题难度更是创造历史新低,论述题均为原题或者今年重要热点考查,且这些题目均在主观题背诵讲义中能找到出处,所以今年简答题的题目较为简单且重复率高,但还是需要考生一定要吃透真题,结合主观题背诵讲义,熟练掌握一些简答题的答题技巧,能够结合热点进行展开,会得到不错的分数。去年论述题没有考查严格意义的热点知识,今年论述题“稳定币对国际货币体系的影响” 虽涉及热点延伸,但核心考点(国际货币体系构成、汇率制度变革)均来自课件 “国际收支”“外汇与汇率” 章节,体现 “基础理论 + 热点应用” 的命题思路。热点内容的考查核心就是理论+实际,考生在理论掌握的同时,需要结合武玄宇老师热点课程,掌握理论结合实际的答题方法和答题要素,同时结合自己平时的金融素养和素材的积累进行作答,这是论述题考查的趋势。 二、难度评估:整体偏易,梯度清晰,与课程适配度极高真题整体难度处于偏易水平,与课程课件的难度设置完全匹配,对紧跟课程节奏的考生友好。名词解释和简答题均为课件明确标注的核心考点(如“劣币驱逐良币”“凯恩斯货币需求理论”等),直接可从 “主观冲刺背诵手册” 中提取答案,难度低。计算题聚焦 CAPM 模型应用、NPV 计算,均是 “风险与收益”“资本预算” 章节的基础题型,计算过程无复杂推导,仅需掌握课件例题的解题逻辑即可得分,难度中等。论述题需结合理论与热点,但核心论点(存款货币创造机制、资本市场有效性)均在课件中有专题讲解,稳定币的考查仅需结合武玄宇老师热点课程适度拓展,难度中等偏上。整体来看,真题难度呈现 “低 - 中 - 高” 合理梯度,扎实掌握课件内容的考生可轻松突破 130 分。通过逐题比对真题与凯程课程课件,得出关键数据:真题考点与课件内容的重合率极高,具体来看:名词解释6 道题全部来自 “主观冲刺背诵手册”;简答题 6 道题均是课件章节重点简答题原型;计算题 2 道题是 “风险与收益”“资本预算” 章节的例题改编;论述题 3 道题的核心理论框架均来自课件专题讲解(存款创造、有效市场、国际货币体系)。充分证明课程课件对真题的预判性极强,核心考点完全命中。第一,围绕参考教材,打牢基础,尤其是宏观部分。今年的考题九成以上均来自课程中反复提到的重点知识点和重要考点,且主观题考查的比重再次上升,符合考前的整体预测,对于基础题+中档题的把握,决定了专业课分数的高低。所有题型均未出现超纲知识点,基础讲义、主观题背诵讲义+上课的课件涵盖了今年所有的考点,所以脚踏实地跟着课程学习,打牢基础,今年分数预计不会低于130分。第二,反复强调真题的重要性,吃透真题,整理好错题笔记,对于主观题,需要多记忆框架,反复练习,对于计算题,对于不同专题比如资本预算、风险与收益、资本成本等,展开专题突破,掌握计算原理,多做题,降低错误率,注意计算题考查的细节处理。第三,培养好金融素养,关心金融市场、资本市场、国内外政策的大事,可以为论述题积累素材和语料。最后,就是提前准备专业课的复习,专业课的学习是一个相对周期长的过程,想要打好基础,需要提前准备,才能获得不错的分数。
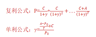
(2)含义:劣币驱逐良币现象。是指在金银双本位制下,金银有一定的兑换比率,当金银的市场比较与法定比价不一致时,市场比价高于法定比价的金属货币(良币)将逐渐减少,而市场比价低于法定比价的金属货币(劣币)将逐渐增加,形成良币退出流通,劣币充斥市场的现象。(1)定义:到期收益率衡量的是投资者投资债券至到期为止的实际全部收益,同样考虑了利息收入和资本损益,一般就是可以使得获得的未来现金流量的现值等于债券当前市价的贴现率。(3)与债券价格的关系:到期收益率(YTM)与债券市场价格呈反向变动关系。市场利率上升,现有债券的价格下跌,其YTM上升(以吸引新买家);反之,市场利率下降,债券价格上涨,其YTM下降。(1)概念:远期外汇交易又称为期汇交易。是由外汇买卖双方签订合同,交易双方无需立即支付对应货币,而是约定在将来一定时期内,按照预先约定的汇率、币种、金额、日期、地点进行交割的外汇业务活动。(2)特点:远期外汇交易与即期外汇交易的根本区别在于交割日不同。凡是交割日在成交两个营业日以后的外汇交易均属于远期外汇交易。(3)主要应用:企业进行远期交易的首要目的是进行套期保值,用于管理汇率风险,帮助其消除经营活动中的汇率不确定性,同时也为投资者提供了投机和套利的工具。(1)定义:特别提款权(SDR)亦称“纸黄金”,最早发行于1969年,是国际货币基金组织根据会员国认缴的份额分配的,可用于偿还国际货币基金组织债务、弥补会员国政府之间国际收支逆差的一种账面资产。其价值目前由美元、欧元、人民币、日元和英镑组成的一篮子储备货币决定。因为它是国际货币基金组织原有的普通提款权以外的一种补充,所以称为特别提款权。(2)作用:会员国在发生国际收支逆差时,可用它向基金组织指定的其他会员国换取外汇,以偿付国际收支逆差或偿还基金组织的贷款,还可与黄金、自由兑换货币一样充当国际储备。(3)定值方法:特别提款权采用一篮子货币的定值方法。货币篮子每五年复审一次,以确保篮子中的货币是国际交易中所使用的那些具有代表性的货币,各货币所占的权重反映了其在国际贸易和金融体系中的重要程度。(1)概念:信用风险又称违约风险,是指借款人、证券发行人或交易对方因种种原因,不愿或无力履行合同条件而构成违约,致使银行、投资者或交易对方遭受损失的可能性。(2)特征:信用风险具有不对称性、累积性、非系统性、内源性的特征。(3)产生来源:信用风险的产生主要源于债务人的偿债能力和偿债意愿。(4)与利率之间的关系:利率的风险结构理论提到,在债券期限条件相同的情况下,债券发行人的信用风险(违约风险)越高,债券投资人会要求更高的信用利差(即风险溢价)来补偿承担的信用风险。即信用风险越高,利率或收益率要求就越高。(2)内容:由两部分组成:用资费用和筹资费用。前者主要指向债权人支付的利息、向股东分配的股利等,后者主要指向银行支付的借款手续费,因发行股票、债券而支付的发行费用等。B.评价投资项目、比较投资方案和进行投资决策的经济标准发行的银行是指中央银行是有权发行银行券、纸币的银行,中央银行是全国唯一的货币发行机构。中央银行独占货币发行权是中央银行发挥其职能作用的基础。政府的银行指中央银行是代表政府执行货币金融政策的机构。作为政府的银行,它主要执行以下职能:①代理国库收支(替政府管钱)、②代理国债发行、③为政府提供资金融通以及特定的信贷支持、④替政府管理外汇储备、⑤制定和实施货币政策、⑥制定并监督执行相关金融管理法规、⑦代表政府参加国际金融活动,进行国际金融事务的协调与磋商。中央银行作为银行的银行,是指其与商业银行和其他金融机构的特殊业务关系,这种特殊业务关系主要体现在以下三个方面:商业银行和有关金融机构必须向央行存入一部分存款准备金,目的一是保证存款机构的清偿能力,二是有利于央行调节信用规模和货币供给。中央银行作为最后贷款人,是指对商业银行和其他金融机构融通资金。特别是当发生金融危机时,其他银行无力或不愿意对一些银行贷款时,中央银行能够而且愿意提供这些资金。作为全国的票据清算中心,中央银行可以为各银行和其他金融机构间的货币的收付转账提供快捷便利的服务,解决单个银行的清算困难,可以加快资金的周转速度,同时便于中央银行掌握商业银行的经营状况,便于实施经营。【题目溯源】华东师范431考前冲刺主观题背诵讲义、华东师范431VIP拔高课凯恩斯认为,人们之所以需要持有货币,是因为存在流动性偏好这种普遍的心理倾向。所谓流动性偏好,是指公众愿意用货币形式持有收入和财富的欲望和心理,这种愿望构成对货币的需求。因此,凯恩斯的货币需求理论被称为流动性偏好理论。人们的货币需求源于以下三种动机:交易动机、预防动机和投机动机。是指人们为了日常交易的方便,而在手头保留一部分货币,基于交易性动机而产生的货币需求就被称为货币的交易需求。它取决于收入的数量和收支的时距长短,由于收支的时距在短期内相对稳定,因此这类支出会受到收入水平的影响,因此交易动机下的货币需求是收入水平的增函数。又称谨慎动机,是指人们需要保留一部分货币以备未曾预料的支付。凯恩斯认为,人们因谨慎动机而产生的货币需求,也与收入同方向变动。因为人们拥有的货币越多,预防意外事件的能力就越强。这类货币需求就被称为货币的预防需求。收入越高,越愿意多持有货币预防上述两类事件的发生,因此预防动机下的货币需求也是收入的增函数。是指人们根据对市场利率变化的预测,需要持有货币以便满足从中投机获利的动机,由此产生的货币需求被称为货币的投机需求。凯恩斯认为,投机动机下的货币需求是利率水平的减函数,即利率与投机动机下的货币需求成反向变化关系。(解释链条:凯恩斯认为可用于储存财富的资产有两种,货币与债券。货币具有流动性,但不能产生收入,债券是能产生收入的资产,但是流动性较差。当利率上升时债券的价格就会下跌债券的预期报率下降,此时持有货币,将优于持有债券,货币需求就会增加,反之,对货币的需求就会减少。因此,货币需求的关键在于微观主体对现存利率水平的估计,即回归性预期假设。若当前的利率水平较高,预期利率水平将会下降,债券价格将会上升,人们倾向于多持有债券。若当前的利率水平较低,则预期利率水平将会上升,债券价格将会下降,人们倾向于持有货币。)凯恩斯讨论的货币需求是实际货币需求,而不是名义货币需求。凯恩斯把与实际收入水平成正向关系的交易性货币需求和预防性货币需求归在一起,称为第I类货币需求,用M1表示,M1随收入水平的增加而增加。M1=L1(Y)凯恩斯将投机性货币需求称为第II类货币需求,用M2表示,它随着利率的上升而减少。M2=L2(r)综合以上两个函数,就得到凯恩斯的货币需求总函数,即Md=M1+M2=L1(Y)+L2(r)该理论的一个关键推论是“流动性陷阱”:当利率已经降至极低水平时,投机性货币需求将变得无限弹性——无论央行增加多少货币供给,都会被公众以货币形式无限窖藏起来,而无法使利率进一步降低,货币政策因而完全失效,需通过财政政策刺激经济。解释了货币非中性,货币通过利率影响投资和总需求,进而影响真实产出与就业,打破了“货币面纱论”,同时该理论指出,由于流动性偏好的存在,经济可能陷入有效需求不足的均衡。因此,单纯依靠市场无法保证充分就业,需要政府通过积极的财政政策直接刺激需求,或通过货币政策调节利率来间接影响投资。【题目溯源】华东师范431考前冲刺主观题背诵讲义、华东师范431VIP拔高课一般性货币政策工具俗称“三大法宝”,包括法定准备金制度、再贴现政策和公开市场操作。法定存款准备金制度,是指在国家法律所给予的权利范围内,通过规定和调整商业银行交存中央银行的存款准备金率,控制商业银行的信用创造能力,间接地调节社会货币供应量的政策工具。A.政策效果比较强大,深度冻结流动性,以应对长期严重的流动性过剩或者迅速释放流动性,以应对严重的流动性不足。B.相对于再贷款和再贴现政策而言,法定存款准备金率主动性强,及时快捷。A.由于效果过于强烈,不宜作为中央银行日常调控货币供给的工具。B.由于同样的原因,它的调整对整个经济和社会心理预期都会产生显著的影响,导致它有固定化的倾向。C.存款准备金对各类银行的影响不同,因而货币政策实现的效果可能因为这些复杂情况的存在而不易把握。扰乱银行的经营计划。D.比较僵硬、一刀切,只考虑到总量未考虑到结构的问题。再贴现政策,是指中央银行通过制定或调整再贴现利率和条件来干预和影响市场利率及货币供应量,从而调节宏观经济的一种政策工具。再贴现政策的作用在于影响银行融资成本,从而影响商业银行的准备金,以达到松紧银根的目的。A.作用较为温和。再贴现政策通过影响金融机构的借贷成本间接地调节货币供应量。B.对市场利率有一定的宣告效应。再贴现率的变动向社会明确告示了中央银行的政策意图。如再贴现率的升高,表明政府判断市场存在过热现象,因此有紧缩意图;反之,则有扩张意向,这对短期市场利率常有导向作用。C.具有结构调节效应。中央银行通过规定再贴现票据的种类和审查再贴现申请时的一些限制条件,可以设定资金流向,对不同用途的信贷加以支持或限制,从而使得货币的供给结构与国家的经济政策导向相符合,达到调整国家产业结构的目的。A.中央银行缺乏主动性。商业银行到中央银行再贴现,主要由商业银行决定。如果商业银行可以通过其他渠道融资而不依赖中央银行,则再贴现政策的效果不佳。B.利率高低有限度。如在经济调整增长时期,无论再贴现率多高,都很难抑制商业银行向中央银行再贴现或借款,反之则反。C.再贴现率是市场利率的重要参照,再贴现率的频繁调整会导致市场利率的经常性波动,使企业和银行无所适从。因此,在货币政策工具中,再贴现政策不处于主要地位。公开市场操作,是指中央银行在金融市场上公开买卖有价证券(主要是政府债券),用以调控货币供应量的一种政策工具。目前,各国中央银行从事的公开市场操作主要是买卖政府债券,公开市场操作是最主要的货币政策工具。A.传递过程的直接性。中央银行通过公开市场操作可以直接调控银行系统的准备金总量,进而直接影响货币供应量。B.主动性。相比于再贷款再贴现政策,通过公开市场操作,中央银行掌握主动性。C.微调。由于公开市场操作的规模和方向可以灵活安排,中央银行有可能对货币供应量进行微调,从而避免法定存款准备金政策的震动效应。D.可进行频繁操作。中央银行可以在公开市场上进行连续性、经常性及试探性操作,也可以进行逆向操作,以灵活调节货币供应量。A.中央银行必须具有强大的足以干预和控制整个金融市场的资金实力。B.中央银行对公开市场操作的操作必须具有弹性操纵权,可以根据经济需要和货币政策目标自行决定买卖证券的种类和数量。C.金融市场必须具有相对的广度和深度。这样,中央银行的公开市场操作才能顺利进行。(1)概念:货币局制度就是将本国货币钉住强势货币并与之建立固定汇率联系的国际货币安排。这种强势货币被称为锚货币;本国的通货发行,以外汇储备(特别是锚货币的外汇储备)为发行保证,保证本币与外币随时可以按固定汇率兑换。或在法律中明确规定本国货币与某一外国可兑换货币保持固定的交换比率,并且对本国货币的发行作出特殊限制以保证履行这一法定义务,本质上是固定汇率制度的一种。(2)特点:在货币局制度下,货币当局失去了货币发行的主动权,且货币局制度下的固定汇率容易导致投机冲击,但可以有效约束政府的支出,减少通货膨胀,有助于稳定投资者的信心;保持国际贸易的稳定发展。我国香港目前实行的联系汇率制度就是一种货币局制度。国际收支逆差→本币贬值趋势→维持固定汇率→买本币卖外币→货币供应量减少→银根紧缩,利息率上升→外国资本流入→国际收支资本金融账户改善国际收支逆差→本币贬值趋势→维持固定汇率→买本币卖外币→货币供应量下降→现金余额(收入)下降→为恢复现金余额水平,减少国内支出,同时利息率上升也导致国内支出减少→进口需求下降→国际收支经常账户改善国际收支逆差→本币贬值趋势→维持固定汇率一买本币卖外币→货币供应量下降→物价下降→本国产品价格下降→增加出口,减少进口→国际收支经常账户改善②货币政策约束:货币当局丧失自主货币政策能力,无法通过利率工具调节经济,通胀水平通常与锚定货币国家趋同。③全额外汇储备支持:本币发行必须有100%或更高比例的外汇储备作为担保,防止超发货币,这意味着本国货币供应量直接与外汇储备的增减挂钩,形成了“外汇储备驱动货币发行”的自动模式,从根本上杜绝了财政赤字货币化的通道。根据有税的MM定理,有负债的公司的价值=无负债公司的价值+税盾的现值,那么随着公司负债的增加,公司的价值也会增加,但同时公司所面临的财务困境成本也会增加,这会降低公司的价值。权衡理论形成于20世纪70年代,是对有税MM模型和破产成本理论的一种理论综合,该理论认为资本结构的最终选择是企业权衡税盾效应和破产成本(以及代理成本等)的结果。早期权衡理论主要针对税盾效应和破产成本,后期权衡理论则在破产成本基础上引入了代理成本等。根据权衡理论,负债企业的市场价值可表述为:式中,VL为负债企业的市场价值;VU为无负债企业的市场价值;PVTS为税盾现值;PVFD为破产成本现值。根据资本结构的权衡理论,权衡负债增加的税盾效应和财务困境成本效应,选择使公司价值最大时的负债水平。如图所示,开始债务增加时,税盾的现值效应远大于破产成本的增加,公司价值直线上升,但当债务增加到一定程度时,财务困境成本的快速增加大于税盾的现值所带来的好处,公司的实际价值降低。因此,企业在进行长期融资决策时应考虑的基本因素是债务的税盾效应和破产成本,权衡二者,选择最优的债务额,从而增加公司的实际价值。根据该理论可以得出最优资本结构:当税盾价值的边际收益等于财务困境成本的边际成本时,企业价值达到最大,此时的负债比例即为最优资本结构。(1)直接融资:直接融资是指资金供求双方通过金融工具直接形成债权债务关系或所有权关系的融资形式。其工具包括债券、股票、商业票据、P2P网贷等:(2)间接融资:间接融资则是指资金供求双方不构成直接的债权债务关系,而是分别与金融中介发生债权债务关系,通过金融中介间接实现资金融通。其工具包括银行存贷款、保险、基金等。(3)联系:直接融资和间接融资都是资金的融通活动,直接融资和间接融资相互渗透、相互支持。(4)区别:直接融资和间接融资的核心区别在于金融中介。①在资金运动中的地位不同。直接融资机构只是协助地位,属于信息中介,而资金流通的双方是实际供求者。间接融资机构处于债务人和债权人的双重地位,属于信用中介,把资金流通全过程分为两个阶段,并在每个阶段都处于主体地位。②承担风险不同。直接融资机构不承担风险,全部风险由资金供求单位承担。间接融资机构由于处于法律合同主体的地位,要承担所有投资风险,但可以通过资产多元化进行分散。③职能不同。直接融资机构在投资运作中主要行使设计投融资方案、咨询和管理、代理投资等职能,并不作为主体进行投资。而间接融资机构则作为投资主体直接行使投资职能。④资金运用和利润分配不同。直接融资机构的投资收益是事前固定的,可以是一个固定数额,也可以是一个比例,而收益的剩余部分归投资者所有。相反,间接融资机构则占有了大部分投资利润,只需支付给资金供给者一个固定数额。1.有一投资组合Z,已知无风险收益率4.8% ,市场利率11.4%,组合z标准差0.42,市场标准差0.21,市场和组合Z的相关系数为0.39,求z期望收益率【题目溯源】华东师范431考前冲刺VIP计算专题拔高课2.某公司投资一项目,项目期为3年,项目A的初始投资为 10万,三年现金流为6万、5万、4万,项目B的初始投资为 15万,三年现金流为6万、7万、8万,资本成本率为10%,请问投资哪一项目?【题目溯源】华东师范431考前冲刺VIP计算专题拔高课商业银行存款货币创造的核心是通过“原始存款→贷款→派生存款” 的循环过程,实现货币供给的倍数扩张,其机制可从前提条件、创造过程、影响因素三方面展开。存款创造是在整个银行体系中,新注入的一笔存款能产生数倍于其投入量的银行存款,这一过程称为存款创造。①各个银行对于自己所吸收的存款只需要保持一部分比例的准备金,商业银行只需留存部分存款作为准备金,其余可用于贷款。②银行清算系统的形成,贷款资金通过转账结算,不直接提取现金。当只考虑法定准备金率时,假设原始存款为10000元,法定准备金率为10%,公众不保留现金,全部存入银行体系,各商业银行除法定准备金之外的现金全部用于贷款。则存款的派生过程如下表:通过上述过程,10000元的原始存款经过整个银行体系最终创造的存款货币总额:总存款=原始存款 × (1 / 法定准备金率) = 100000元其中r表示存款乘数,k表示现金漏损率,rd表示法定准备金率,t表示定期存款与活期存款之比,re表示超额准备金率。②超额准备金率(商业银行自愿多留的准备金,与存款乘数负相关);有效资本市场是指一个股票价格能够充分反映可用信息的资本市场。根据信息对股票价格的影响,有效市场可分为弱型有效市场、半强型有效市场和强型有效市场。①弱式有效市场假说认为市场在弱式有效的情况下,市场价格已充分反映出所有过去历史的证券价格信息,包括股票的成交价、成交量、卖空金额,融资金融等。此时股票价格的技术分析失去作用,基本分析还可能帮助投资者获得超额利润。②半强式有效市场假说认为价格已充分反映所有已公开的有关公司营运前景的信息。这些信息有成交价、成交量、盈利资料、盈利预测值,公司管理状况及其它公开披露的财务信息等。假如投资者能迅速获得这些信息,股价应迅速做出反应。此时利用技术分析和基本分析都失去作用,内幕消息可能获得超额利润。③强式有效市场假说认为价格已充分地反映了所有关于公司营运的信息,这些信息包括已公开的或内部未公开的信息。此时没有任何方法能帮助投资者获得超额利润,即使基金和有内幕消息者也一样。对财务管理的意义:只有在有效市场上,财务管理才能正常进行,财务管理理论体系才能成立,如果市场无效,很多理财方法和财务管理理论都无法建立。因此有效市场假说是建立财务管理原则、进行财务管理活动的基础。表现在以下方面:I.管理者不能通过改变会计方法来愚弄市场;II.公司不能成功选择发行股票和债券的时机;III.管理者不能通过投资外币和其他投资工具来获利;IV.管理者通过关注市场价格可以获得很多好处。①对融资方式选择的影响:在半强式及以上有效市场中,投资者能迅速解读公开信息(如公司财务报表、融资计划),公司无法通过美化报表、隐瞒信息获得融资优势,需聚焦自身核心竞争力,选择与自身风险、收益匹配的融资方式(如成长型公司选择权益融资,成熟型公司选择债务融资);②对融资时机选择的影响:有效市场中,证券价格已反映所有信息,不存在 “低买高卖” ,管理者不能通过改变会计方法来愚弄市场的融资时机,公司无法通过择时发行股票或债券获得超额收益,应根据投资项目的资金需求及时融资,避免因等待时机错失投资机会。③对融资成本的影响:有效市场中,证券价格等于其内在价值,融资成本由公司的风险水平决定。公司需通过优化资本结构、提升盈利能力降低风险,进而降低权益资本成本和债务资本成本,提高融资效率。④对信息披露和投资者关系管理的影响:在有效市场中,主动、透明、及时的信息披露至关重要。既然市场能迅速消化信息,公司应致力于降低信息不对称,向市场清晰传达其战略、风险和前景,以获得公允的定价和更低的融资成本。稳定币是一种基于区块链技术、通过挂钩特定资产(主要是法定货币,尤其是美元)来保持币值相对稳定的加密数字货币。近年来,其发展势头迅猛,已从边缘的投机工具转变为机构大规模参与的主流资产类别。公开资料显示,全球稳定币市值已达2500亿美元,其中95%以上锚定美元。与比特币等传统加密货币的核心区别在于 “中心化”与“币值稳定”。比特币是去中心化发行,数量固定,币值波动剧烈,更像一种投机性数字资产。稳定币则通常由中心化机构发行,数量不限,通过资产储备维持与法币的平价,旨在发挥交易媒介、价值尺度的货币职能。①定义:国际货币体系是支配各国货币关系的规则与安排,其核心在于确定国际本位货币、汇率制度以及国际收支调节方式。国际货币体系经历了从国际金本位制到布雷顿森林体系(以美元为中心的金汇兑本位制),再到现行牙买加体系的演变。尽管牙买加体系承认了多元储备货币,但实质上仍延续了“美元霸权”的格局。I.国际收支调节不平衡:美国通过“贸易逆差(输出美元)+资本账户顺差(美元回流)”的模式(即“CA逆+KA顺的组合”)维系美元循环,导致全球失衡。新兴市场为积累美元储备而低估汇率,美国则享受低成本融资和廉价商品。II.“特里芬难题”的现代版:美元同时承担美国国内货币和世界公共品的双重角色,存在根本矛盾。美国的财政货币政策具有强大的负外部性(“美元潮汐”),其国内危机(如过度金融创新)易转化为全球金融危机。更为严峻的是,在地缘冲突中,美元可能被“武器化”,严重损害其作为中性国际公共品的信用。伴随美国经济占比相对下降、逆全球化、美债信用受损等因素正在动摇美元霸权基础。未来的改革方向可能朝向“超主权货币”(如增强SDR作用)或更具韧性的 “多极化货币体系” 发展。在此背景下,以区块链技术为代表的金融创新产物“稳定币”的迅猛发展,正在为国际货币体系的演变注入新的变量。现行以代理行和SWIFT网络为主的跨境支付模式成本高、速度慢、透明度低。稳定币利用区块链技术可实现点对点、近乎实时、低成本的跨境支付,大幅缩短支付链条,降低结算风险和资金占用。这有助于构建新一代金融基础设施,促进全球贸易与资本流动的便利化,符合国际社会对更高效支付体系的长期追求。稳定币的低门槛和易用性,能够让无法享受传统银行服务的人群(无银行账户者)接入数字支付网络,有助于在全球范围内推动金融服务的普及。当前稳定币虽以美元为主,但其技术架构本身是开放的。目前我国“鼓励人民币稳定币的发行” ,并推进其与数字人民币的互通。这表明,主权国家可以利用类似技术打造基于本国货币的数字工具,在国际支付中争取份额。多边央行数字货币桥项目正是这一方向的实践,它探索通过CBDC直连网络进行跨境支付,为未来多元货币竞争与合作提供了新的技术平台和可能性。稳定币是连接加密世界与传统金融的桥梁,也是RWA代币化的重要载体。全球范围内的资产(如债券、房地产)代币化,可以提升资产流动性和市场效率,可能催生新的、更去中心化的全球金融市场结构,间接影响以传统银行和交易所为核心的国际金融体系。然而,稳定币的当前发展模式可能加剧现有体系的矛盾,并引入新的风险。目前超过95%的稳定币锚定美元,其底层资产也多是美元国债。这意味着:I.创造对美元的新需求:使用稳定币即间接使用和持有美元,扩大了美元的境外流通和适用场景。II.支撑美债市场:稳定币发行商需要持有大量美债作为储备资产,这在全球对美债安全性产生质疑的背景下,为美债提供了新的“终极买家”,缓解了美国债务可持续性的压力,从而巩固了美元体系的根基。②威胁货币主权与金融稳定:I.监管套利与合规风险:稳定币的跨境、匿名(或伪匿名)特性对反洗钱、反恐融资等监管构成巨大挑战,可能成为非法资金流动的通道。II.金融体系的脆弱性:即便有100%准备金要求,稳定币在运行中仍可能因挤兑、托管风险、资产流动性等问题引发系统性风险。其与传统金融体系的关联日益紧密,风险传导更快。III.削弱他国货币政策效力:如果一种全球性稳定币在一国被广泛使用,将侵蚀该国央行的货币控制权和铸币税收入,影响其利率政策和汇率管理。③对现有国际货币体系改革形成复杂干扰:稳定币的私人属性与全球公共品需求之间存在矛盾。由私营企业发行的全球性稳定币,其治理和责任框架并不透明,无法像主权国家或IMF那样承担最终贷款人或调节国际收支的责任。它可能使国际货币体系从“主权国家主导”滑向“私营科技巨头主导”,而后者在维护全球金融稳定方面缺乏合法性与责任感。④加剧金融脱媒,冲击传统银行业:稳定币点对点的支付方式绕过了商业银行的中介角色,挤压其支付业务收入。如果稳定币进一步发展出借贷、储蓄等金融功能,将加剧金融脱媒,可能影响整个银行体系的稳定性和信贷创造功能。综上所述,稳定币作为技术驱动的金融创新,对国际货币体系而言是一把“双刃剑”。从机遇看,它提供了革新低效跨境支付、促进金融包容、试验多币种竞争新形态的技术蓝图,为构建一个更高效、更普惠的未来货币体系提供了可能路径。但从挑战看,在缺乏恰当全球监管的当下,其以美元为核心的早期发展模式非但无助于解决现行体系的“特里芬难题”和美元武器化风险,反而可能进一步固化美元霸权,并引入新的金融脆弱性和监管黑洞。因此,未来的关键在于治理与引导。各国及国际组织(如BIS、IMF)必须加快监管框架建设,积极参与国际规则制定。对于中国等寻求提升本币国际地位的国家而言,战略重点应是大力发展本国的央行数字货币(如数字人民币)并探索合规的人民币稳定币,利用技术之力推动国际货币体系向更加多元化、公平、有韧性的方向演进。【题目溯源】武玄宇金融热点3稳定币和数字货币、华东师范431总复习预测课👇咨询26复试班&27初试班(微信同电话)
小王老师:17310663569