Fiber OpticSensing Technologies Supporting Advancements in Steel Production and the Shiftto Industry 4.0
光纤传感技术支持钢铁生产进步和向工业4.0的转变
Henry Marion Howe在他的整个职业生涯中都在努力将冶金和钢铁制造的艺术提升到科学领域,[1]许多著名的研究者都追随了他的道路,并理所当然地获得了Howe纪念演讲奖,以表彰他们在提高钢铁制造科学和技术方面的努力。在这次100周年纪念讲座中,我希望通过回顾光纤技术在传感和测量方法方面的最新进展来延续这一趋势,光纤技术有望带来钢铁工艺知识的层次的进一步提高,并支持钢铁工业向工业4.0的发展。钢铁的制造过程包括在极端环境条件下操作的过程,这些条件会使温度、应变、位置和化学成分的测量变得既困难又昂贵。然而,随着工业4.0方法在钢铁制造中被采用,必须开发和采用新的传感系统,以实现人工智能、大数据分析、神经网络学习和数字孪生等4.0技术,并确认使用这些先进工具做出的预测的准确性。基于光纤的传感器具有体积小、抗电磁干扰、分辨率高、分布式传感能力强、适应恶劣环境等独特优势。本讲座将回顾和讨论光纤传感技术在炼钢和铸造领域的最新进展和潜在应用。工业4.0感知需求
Boston咨询公司列举了9个技术领域,包括工业4.0:[12] 增材制造、增强现实、自主机器人、大数据和分析、云、网络安全、水平和垂直系统集成、工业物联网和仿真。传感器在所有这些领域都发挥着核心作用,需要低成本,快速,强大和高度分布式的传感来监控过程,收集数据进行分析,提供反馈以支持系统集成和先进控制策略的开发,并验证通过模拟和数字孪生对行业生产过程进行的预测。很明显,传感器技术的进步是钢铁行业采用工业4.0的必要和关键组成部分。光纤传感器领域的当前和新兴技术提供了许多好处,有可能满足我们行业的需求。光纤传感器
为什么选择光纤?
目前在钢铁工业中用于测量温度和应变的传感技术通常体积庞大,占用了有限的设备空间,并且由于布线,电源和连接要求而难以大量实施。用于应变测量的热电偶和电阻温度检测器(RTD)系统以及应变计需要多个引线(图1)用于每个测量点,以将电信号从测量点传输到模数转换器单元。在某些情况下,还必须为每个传感器供电。传感器和电缆还必须在测量环境中保护免受电磁干扰,这需要电屏蔽。这增加了安装和布线的体积,并且通常限制了可以安装在被测量组件中的测量点的数量。当发射器可以放置在测量地点附近时,无线技术提供了一些好处,但是这些系统必须能够在电磁噪声环境中传输和接收数据。
光学高温计提供了一种具有竞争力的温度测量方法,能够用于测量绘制大的物体表面。然而,这些系统通常必须对目标具有无障碍布线,由于目标和周围环境的镜面特性和发射率的变化,也会受到测量误差的影响。光纤传感系统在温度和应变测量方面比这些更传统的方法有几个优点。光纤通常直径小(100-250微米),不受电磁干扰,并且具有分布式测量能力,允许沿单个光纤进行多个测量点。在测量小位移以取代线性可变差动变压器(LVDTs)和线性位置传感器的应用中,光学传感器可以嵌入测量现场,无需温度补偿即可执行高精度的距离测量。对于化学测量应用,光纤提供了一种手段,将激发能传输到测量地点,并通过光谱分析收集发射光谱,以便在远程位置进行分析。光纤传感器的类型及其工作原理
光纤以低损耗传输光,通过使用中心光纤芯,其折射率略高于芯周围的包层,这使得光在芯-包层界面的壁上反复反射,而不是从芯中泄漏,从而使光以低衰减沿着光纤芯传播。具有小直径芯的光纤以这样一种方式包含光,即它只能沿着芯的中心沿一条路径传播。这种类型的光纤称为单模光纤。纤芯直径较大的光纤允许光沿纤芯包覆界面通过多条反射路径传播。这种类型的光纤被称为多模光纤(图2)。在某些情况下,多模光纤也可以在没有包层的情况下工作。在这里,纤维周围的空气有效地起到了包层的作用。这种类型的纤维有时被称为无芯纤维。
有几种类型的光纤讯问方法可用于测量温度,应变,距离和化学。光纤的种类和询问方法的选择在很大程度上取决于测量环境和应用。在其最简单的形式中,光纤可以简单地用于将光传输到目标测量地点或从目标测量地点传输出去。在这里,光纤只是充当询问地点和测量设备之间的管道,例如用于光谱化学或光学热分析法的光谱仪或功率监测系统。然而,光纤的真正好处在于,它们可以被修改,以创建对温度、位置和应变做出响应的嵌入式传感器。外源光纤干涉仪传感器的示例如图3所示。在这里,光纤的末端充当反射器,外部目标充当第二反射器。当引入波长为λ的入射光时,两个反射信号之间反射干涉图样的强度I根据公式1变化,其中n为间隙的折射率,L为光纤端到目标的距离,I1和I2为单个反射信号的强度。光谱两个连续最小值之间的距离可以直接与间隙长度L或折射率n的变化有关。对于间隙中具有温度不敏感折射率的材料,例如空气,[14]可以通过干涉图样的波长位移以亚微米级的精度确定腔长L。
(1)

图3 光纤外源性法Fabry-Pérot干涉仪(EFPI)传感原理本征光纤干涉仪[15]的一个例子如图4所示。在这里,光纤尖端已经被修改,以创建两个反射表面,作为干涉仪和腔的长度变化被用来测量温度。在这种情况下,传感器作为单点温度测量设备。
图4 基于凹形法Fabry–Pérot腔的高温传感器用光纤测量温度或应变的另一种方法是在光纤的芯部引入光纤布拉格光栅(FBGs),如图5所示。在这里,一个规则间隔的光栅图案被引入到光纤芯中,使用紫外线(UV)掩蔽或飞秒(FS)激光刻字来产生已知频率的反射,如公式2所述。其中λB为布拉格谐振基波波长,m为谐波阶,neff为有效折射率,ΛG为光栅间距,如图5所示。
(2)

图5 光纤布拉格光栅(FBG)原理图及其反射和透射光谱温度或应变在光纤光栅的变化导致波长的相应变化,根据光纤安装的方法,光纤光栅可以测量温度或应变。光纤光栅传感器的主要优点之一是,可以沿着单个光纤中引入不同基波长的多个光纤光栅,从而在光纤的不同位置产生准分布的温度或应变测量。该技术的另一个优点是,由于不需要渡越时间来识别FBG传感器的位置,因此它可以用于各种不同的光纤材料类型,作为光波导,包括多模光纤。该方法的一个缺点是,它需要在每个测量地点安装具有唯一频率的传感器,这增加了传感器制造的成本。还有一种方法是通过测量光纤固有的后向散射反射来检测光纤的温度或应变。使用单模光纤的光频域反射法(OFDR)进行Rayleigh散射检测,为单根光纤进行高分布温度测量提供了一种很有前途的方法。ODFR不使用光纤芯上的内嵌传感器,而是检测光纤芯中诱发Rayleigh后向散射的自然不均匀性。通过在已知的基线温度下对每0.65 mm长度的光纤进行询问,可以捕获沿光纤长度的散射频谱(图6)。该频谱经历由温度变化ΔT引起的波长移位Δλ,可以使用公式3表示如下:
(3)

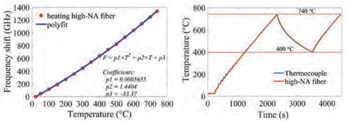
图6 利用光频域反射法(ODFR)探测单模光纤空间分布的瑞利散射式中ξ为纤维材料的热光系数,α为热膨胀系数。利用相互关系构造温度分布图来检测每个光纤元件的波长位移。在这里,单模光纤允许位置由渡越时间决定。这种询问方法的温度测量精度已被证明可与热电偶测量获得的精度相媲美(图7)
图7 瑞利后向散射频移随温度的校准曲线及与K型热电偶的比较这种测量方法的一个关键优点是其高的分布温度测量能力,允许使用一根光纤获得完整的温度分布(图8)。瑞利散射的其他优点包括高特殊分辨率(0.65 mm),长传感长度(100 m)和相对较高的采样率(~20 ms)。具有高数值孔径(小芯径)的光纤对弯曲的灵敏度也很低,可以弯曲到1.5 mm的半径,信号损失很低结合使用具有不同数值孔径的纤维也提供了使用两根平行纤维进行反卷积温度和应变测量的可能性。
图8 两种单模光纤类型在不同温度下的单纤维炉轮廓测量:标准和高数值孔径除了瑞利Rayleigh散射之外,布里渊Brillouin散射和拉曼Raman散射也可以用于分布式温度传感,而无需在光纤芯中引入特征。布里渊光频域反射计OFDR允许更长的光纤传感长度(千米),但以较低的空间分辨率和采样率为代价。参考文献19对其中一些传感方法进行了总结,表1对其中一些传感方法和能力进行了比较。
当前的钢铁行业应用
光纤已经在传感在炼钢中的应用取得了一些重大进展,如电弧炉(EAF)炼钢容器的温度监测、耐火材料衬里监测和连铸机结晶器温度监测。以下只是几个例子。半连续钢温测量
贺利氏Electro-Nite推出了一种可耗材光纤系统CoreTemp®,用于半连续光学钢熔池温度测量。将一根有护套的光纤注入钢液中,并将钢液热辐射中的红外(IR)光传输到远程光学高温计。光学芯线完全浸入熔融的钢水熔池中,并在芯线中的光纤与钢水熔池之间的界面处产生黑体状态,[20]从而消除了发射率校正的需要。该系统为电炉或钢包冶金炉(LMF)的温度测量提供了一种半连续的方法,也可以使用光纤输送系统来测量炉内的钢液熔池的高度(图9)。
图9 贺利氏Electro-Nite CoreTemp系统用于半连续光学温度测量
该系统可用于改善EAF的端点温度控制,提高车间安全性,并通过提供电炉熔池液位高度和出钢后的留钢量的测量来改善EAF的性能。钢水容器耐材衬里监测
许多公司现在都在推销用于反应容器壁、管道和电力电缆温度监测的技术。Saveway[21]开发了一种耐材衬里监测系统,该系统基于测量嵌入耐材中的导电耐火丝的电阻,[22]用于感应炉衬里、加热炉、透气塞和RH脱气装置上。该系统通过电导率随温度的变化,沿传感器长度检测最高温度。Yokogawa[23]公司正在销售一种使用分布式光纤拉曼分析监测容器温度的系统(OpreXDTSX)(图10)。后一种系统能够以30-300秒的时间间隔以0.5-1.0米的空间分辨率监测千米长度的光纤。
图10 Yokogawa OpreX Raman ODFR系统Lios[24]还使用分布式光纤拉曼分析来开发感应炉的温度和耐材侵蚀图,如图11所示。
图11 Lios系统用于感应炉光纤热成像和侵蚀监测连铸机结晶器检测仪器
在连铸过程中,光纤在连铸结晶器监测中的应用受到了广泛的关注,目前已有几种系统可供商用。“智能结晶器”的概念最早是由Keith Brimacombe在20世纪90年代初提出的,并在1993年的Howe纪念讲座“授权与知识-走向智能模具连铸钢坯”中得到强调。随着光纤和工业4.0系统的出现,这个想法现在已经成为现实。现在有几家供应商提供使用光纤FBGs的结晶器热监测和漏钢预报检测系统。大多数配置在沿结晶器宽度的位置使用单个垂直光纤阵列,沿每根光纤的长度间隔有多个FBGs。SMS集团提供一系列HD Mold®配置,[26,27]这是一种光纤结晶器测绘系统,该系统采用20根或更多独立光纤阵列,每个宽面铜板上每根光纤最多可达25个光纤光栅,以创建结晶器的热成像(图12)。
图12 商用SMS集团HD MoldFO®光纤传感系统,每根光纤有25个光纤光栅测点,每个结晶器表面有>500个总测温点该系统可以创建结晶器铜板的热图,并实现高分辨率的热事件检测,以跟踪诸如结晶器钢水和保护渣进入、结晶器液面可视化、粘结漏钢检测、不适当的窄面锥度、角裂和纵向表面裂纹等事件。该系统还提供了热流密度和温度的趋势(图13)。
图13 SMS HD结晶器®-温度和热流密度的热图和趋势Primetals Technologies还提供光纤结晶器热监测系统,其配置采用超过2800个FBG感测点,FBGs更紧密地分布在结晶器的弯月面区域,以监测弯月面波形和稳定性。图14所示的高密度FBG布局在Tata IJmuiden的连铸机结晶器上运行,取代了所有生产结晶器中的热电偶。弯月面区域中相对密集的FBG间距允许系统监测和趋势结晶器中的稳态和瞬态弯月面波条件,如图15和16所示。
图14 PrimetalsTechnologies Mold Expert®光纤光纤光栅传感器布局在Tata ijmuiden
图15 PrimetalsTechnologies结晶器专家光纤®-弯月面形状映射的例子 [29]
图16 PrimetalsTechnologies结晶器专家光纤-弯月面形状趋势显示瞬态波活动的例子 [29]光纤热成像系统也为不同钢种的结晶器保护渣性能的评估和微调提供了有力的工具。图17显示了两种不同连铸条件的示例,其中一种连铸条件显示了结晶器下部强烈的热回弹,这归因于结晶器中结晶层固态坯壳离开铜板。[30,31]
图17 结晶器宽面温度图——结晶器保护渣对结晶初生坯壳的影响ABB还展示了一个光纤温度映射系统,OptiMold Monitor®,[32] 与他们的FC结晶器电磁流量控制系统一起工作,直接观察磁场强度调整对结晶器弯月面形状和热均匀性的影响(图18),并探索了在闭环中使用该系统,利用温度监测系统的反馈来控制结晶器中的流动条件。
图18 ABBOptiMold Monitor®-不同FC结晶器磁场配置的时间平均2D热图。Bbottom/Btop = 100/57%,69/57%,69/0%[32]这些高分辨率的光纤结晶器热测绘工具现已商业化,为提高连铸板坯的质量提供了令人兴奋的机会,并将这些系统创建的大型数据集与先进的分析技术、大数据分析、数字孪生、自我学习系统有可能直接与下游的自动检测系统相连,以识别和自我分类与连铸机相关的质量趋势,并在钢铁生产过程中进行纠正。新兴的钢铁传感器技术和发展
除了已经讨论的一些光纤传感技术,现在可以在商业上使用,还有一些新的光纤传感发展应用于炼钢领域,显示出未来传感应用的巨大前景。非常高的空间分辨率热映射
瑞利散射OFDR在温度和应变测量中的应用显示出极高空间分辨率(0.65 mm)和高速(20 ms)分布式温度测量的巨大前景。除了分辨率和速度的优势外,该技术还采用了低成本的单模硅基光纤,而无需在光纤芯中创建FBGs等嵌入式传感器。小芯径高数值孔径光纤也能够在相对紧密的弯曲半径下工作,而不会在瑞利后向散射信号中产生损失,[18]使它们成为编织嵌入式高分辨率空间映射应用的单光纤的理想选择。最近对这种光纤询问技术的能力的几个例子进行了审查。[17,33,34]瑞利散射OFDR最近被证明可以进行高分辨率的模具热测绘,以研究包晶钢的凝固。[35,36]瑞利散射OFDR系统(图19)采用一根光纤嵌入铜模具内(图20),并使用自动化系统将模具浸入不同成分的钢水中(图21)。重新映射单个嵌入纤维的温度,以创建铜模具在与钢液接触和钢壳生长期间的瞬态二维热图,如图22所示。图23展示了这种热成像方法的卓越分辨率,其中将测量的固态坯壳厚度剖面与从实验中获得的热图进行了比较。该系统具有提高热成像分辨率和减少生成热成像所需纤维数量的潜力。

图20 电火花加工的铜模板,插在槽里的绕圈光纤,在保护浇铸里的仪表化铜模具板,以便浸入钢液中 [33]
图21 采用分布式光纤温度传感器对结晶器铜板进行浸出测试的实验装置概述

图23 (a)凝固坯壳、(b)固态坯壳厚图、(c)铜模板热图对比瑞利散射OFDR温度分布的另一个应用是对炼钢容器包壁和耐材衬里的监测。在采用绝缘板、浇注料永久衬里和干式捣打料工作衬的实验室中间包中使用嵌入式光纤的实验室演示结果如图24所示。[34]
图25和图26显示了中间包浇注料的永久衬和绝缘板在预热和接触钢液时的温度分布。曲线清楚地显示出通过绝缘板的温度下降和工作衬里的温度超过600℃。注意,在图26b中,当温度超过~700°C时,观察到瑞利散射信号的一些损失,这是我们使用该技术观察到的温度极限。然而,信号在冷却后恢复。该系统也已成功应用于连铸机中间包的生产中,该中间包采用了喷涂料作业、浇铸料永久衬和喷涂料工作衬。从这项调查中得出的一个有趣的观察结果是,在使用6-8小时后,在中间包的某些部分工作衬仍然有水汽排出(图27)。
图25 水平光纤通过中间包衬里预热与钢水接触时的温度分布
图26 垂直光纤通过中间包衬里预热与钢水接触时的温度分布
图27 工业上使用的中间包瑞利散射光纤温度分布图显示工作衬在100°C时水干时的热阻炼钢温度的测量
单模硅基光纤的工作温度限制在400°C到700°C之间,这取决于芯和包层中使用的掺杂剂。对于FBGs,FBGs的制造方法也会影响传感器的温度能力,由纯二氧化硅和单晶蓝宝石制成的光纤可以延长光纤的温度性能。然而,这些类型的光纤目前不能制造成足够小的直径作为单模光纤,因此不适合瑞利后向散射OFDR。无芯多模单晶蓝宝石光纤(直径125 μm)已经在我们的实验室中成功地用于测量超过1800°C的温度,使用飞秒激光将FBGs刻入光纤芯中。如图28所示,询问系统采用多模二氧化硅光纤,该光纤被拼接到包含刻字FBGs的蓝宝石光纤上。在实验室炉中测试的反射光谱(图29)显示了当光纤从室温加热到1600°C时,两个内切FBG反射峰的移位。从相邻Pt-Rh热电偶的FBG的峰值波长位移计算的温度的比较显示出极好的一致性,如图30所示。然而,光纤系统有附加的好处,沿着光纤的长度可提供几个测量点。
图28 使用带FBGs的蓝宝石光纤进行温度测量的询问系统
图29 蓝宝石光纤光栅反射峰显示波长的变化与温度的两个光纤光栅
图30 蓝宝石光纤光栅温度测量与Pt-Rh热电偶的比较蓝宝石光纤的高温分布式测量能力在钢液温度测量中的潜在应用的另一个演示如图31所示。在这里,一个蓝宝石纤维和三个刻有FBGs被包裹在一个保护性的铝-石墨耐火棒中,浸入实验室感应炉的钢液中。试验结果如图32所示。放置在FBG-2附近的热电偶与FBG测量的温度表现出极好的一致性,并且额外的FBGs提供了熔体界面上下的额外温度测量。事实上,在最近的实验室试验中,密苏里科技大学的研究人员已经成功地在一根蓝宝石纤维上检测到10个FBGs,如图33所示。未来还计划进行几个示范工厂试验,其中包括在美国的阿拉巴马州Mobile的SSAB将蓝宝石纤维嵌入钢厂的Shinagawa浸入式水口(SEN)。在SSAB上使用维苏威Vesuvius改装的中间包温度测量探头。
图31 分布式温度测量使用多模蓝宝石光纤与FBG传感器嵌入在氧化铝-石墨耐材塞棒

图33 在蓝宝石光纤上测量温度的10个FBGs的演示基于干涉仪的间隙测量
在高温下测量小的间隙和位移是一个重大的挑战,特别是在狭窄的空间中,例如在连铸机的结晶器和凝固金属之间的气隙和结晶器下部区域的气隙。如图35所示机械系统的实验,[37]需要对连杆的热膨胀进行修正,以进行精确测量。由于该技术具有温度敏感、非侵入性和电磁干扰免疫的特点,因此该问题非常适合于外部法Fabry-Pérot干涉仪(EFPI)。我们在实验室中使用图36所示的永久结晶器实验装置演示了该技术。在这里,一个固定光纤的卡套在模腔中有一个直径125 μm的瞄准孔,这个瞄准孔足够小,可以避免熔融金属的渗透。迄今为止,密苏里科技大学的研究人员已经在1200°C的温度下,用熔融铝和铸铁以及带校准空腔的钢表面进行了示范试验。同样采用瑞利光纤进行温度剖面测量的熔融铝实验结果如图37所示。
图34 用于嵌入式蓝宝石光纤温度测量试验的SENs改进

图36 用两个Fabry-Pérot光学干涉仪测量结晶器气隙
图37 由嵌入式瑞利光纤传感器和干涉仪测量温度曲线,用干涉仪检测凝固过程中的结晶器气隙演变该系统还成功地用于通过透明的结晶器保护渣层进行间隙测量。我们目前正在探索该系统检测保护渣结晶开始的能力。我们还展示了可以使用三轴干涉仪监测小3D位移的系统,用于监测分段载波运动。这种干涉仪技术对于测量板坯形状、铸坯鼓肚、扇形段和框架位移运动,以及在恶劣和密闭环境中使用相对简单和非侵入式传感器的结晶保护渣结晶化认识具有重要的前景。它也为铸造工业提供了新的数据,以提高我们对模具-金属界面传热的基本认识分布式应变测量
瑞利和光纤光栅光学传感器都能够在微应变水平上进行应变测量。考虑到这些传感器对温度和应变都很敏感,必须小心安装纤维,要么将它们与应变隔离,要么将它们粘合到待测表面以进行应变测量。在后一种情况下,可以使用第二个传感器来分离温度和应变影响,就像传统的电子应变片一样,采用光学应变片的好处已经讨论过了,但值得注意的是,这些传感器的分布式测量能力使它们非常适合大规模的菊花链传感器实施。其中一个成功的应用是通过监测扇形段支撑辊梁的挠度来测量连铸机的液芯位置。在这里,使用单根光纤来监测许多辊子而不必为每个测量点供电的这个能力具有很大的吸引力。通过测量轧辊支撑梁的微应变挠度,应变片已经成功地测量了液芯从轧辊下通过时轧辊上载荷的位移,如图39所示。最近,这种液芯检测方法已经成功地用基于多路光纤光栅的光学应变测量进行了验证
图38 在校准SS块上的多个干涉仪腔深测量值在室温和1200°C下的比较
图39 位于连铸机扇形段辊子支承梁上的应变计,用于检测连铸机轧辊下铸坯的液芯情况 [39]在ArcelorMittal(现在的Cleveland- Cliffs) Burns Harbor的1号连铸机上进行了基于光纤光栅应变计的演示试验。在每个测辊位置的辊子支撑梁上安装两个垂直方向的应变片,如图40所示。图41显示了6台仪器辊子在连浇10炉的连铸试验结果。
图40 在安赛乐米塔尔(现的Cleveland-Cliffs) BurnsHarbor 1号板坯连铸机上,用菊花链光纤应变传感器进行铸坯液心检测的分段仪器
图41 支撑辊应变测量在10炉钢水浇铸序列中与不同的连铸拉速和相应的连铸机模型预测液芯位置与时间对比在每一个支撑辊下,随着铸坯液芯的运动,可以清楚地观察到应变的变化,在横向传感器上应变增加,在纵向应变传感器上应变减少(由于梁弯曲时的泊松比效应)(图42)。这两种正交应变测量提供了一种通过简单的信号减法分离温度和应变对测量的影响的方法。同一图显示了应变信号的FFT分析,显示了与连铸过程中支撑辊弯曲和铸坯鼓肚相关的频率对应的峰值。[40]
图42 在第75个辊处液芯位置变化时,在横向和纵向光学安装应变片上进行应变测量,并对应变片上对应于辊子偏心和铸坯鼓肚的“噪声”进行FFT分析由于光学应变测量的分散性,这种液芯检测技术非常适合用一根光纤对多个辊子进行液芯位置的低成本监测。该系统提供了一种跟踪液芯位置的方法,以实现有针对性的软压下,监控生产过程,并跟踪连铸机质量事件。在未来,密苏里科技大学的研究人员计划探索使用瑞利光纤传感来测量沿辊子支撑梁的应变分布形状,以检测铸机中铸坯液芯不对称的现象存在。现场熔渣和保护渣分析
一段时间以来,许多钢铁生产商一直希望能够近乎实时地测量炉渣和保护渣的化学成分。如今,炉渣和保护渣成分通常是通过取样、研磨和压制或熔合钮来确定的,这些只能使用XRF分析进行离线分析。对原位测定炉渣氧活度的电化学方法进行了探索,但尚未得到广泛应用。拉曼和核磁共振(NMR)分析已被成功地用于评价炉渣的组成、结构和粘度等性能,但尚未在炼钢温度下进行现场应用在密苏里科技大学进行的研究中,一根光纤与一个硬化探针集成在一起,可以在炼钢温度下远程激发和收集熔渣和结晶器保护渣样品的拉曼光谱。该系统已在实验室规模上使用图43所示的配置进行了评估。该系统非常适合远程操作,具有硬化的传感器头,可以在炼钢环境中保护和操作。探头设计细节如图44所示。在实验室中,使用小型感应线圈将样品加热到不同的测试温度,并使用远程拉曼探针收集拉曼光谱进行分析。保护渣样品在不同温度下的拉曼光谱如图45所示。已知成分的合成结晶器保护渣(表2)用于将保护渣成分与在1,350℃收集的拉曼光谱相关联。
图43 高温实验用原位高温光纤拉曼系统和感应线圈系统原理图 [46]
图44 定制端部望远镜的原位光纤拉曼探头示意图(左)。安装定制外望远镜的原位光纤拉曼探头(中)和带磁通样品的感应线圈(右)的图像 [46]
图45 使用远程拉曼探针从结晶器保护渣样品在不同温度下收集的典型拉曼光谱
通过识别和反卷积作为不同结构硅酸盐链指纹的单个拉曼Q区峰(图48),可以开发与化学和炉渣性质的相关性(图46)。反褶积分析的结果以及峰高或面积比与化学的相关性表明,在现场渣分析中具有很大的应用前景。
图46 800 -1100 cm-1 (Q区)拉曼光谱的反卷积

图48 电弧炉炉渣在1400℃时的Q区结构和反卷积Q区拉曼光谱 [47]正在进行额外的工作,以反卷积图46所示的拉曼光谱的氧化铝—二氧化硅部分,以提取保护渣氧化铝含量的组成信息。在连铸机现场跟踪结晶器保护渣中氧化铝和二氧化硅成分和碱度变化的能力,将允许动态调整结晶器保护渣成分,并将大大提高具有高浓度活性元素(Al, Ti等)的钢种的可浇性,例如变形诱发的塑性钢和第三代先进高强度钢。类似的工作正在使用拉曼分析来分析电炉炉渣。表3显示了用于获得Q区光谱的电炉炉渣成分,图48显示了从1400°C的炉渣中获得的相应拉曼光谱。电炉炉渣实时分析的可用性也将显著提高电炉的运行效率和性能。
总结
基于光纤技术的新型和现有传感器在钢铁制造中显示出巨大的应用前景。这些新的高度分布式和遥感功能有望为研究人员和操作人员提供几年前无法实现的过程视图。随着这些新系统的出现,工业4.0的下一步是将这些系统与先进的分析工具集成在一起。我毫不怀疑,从生产率、成本、质量、环境影响和效率等方面衡量,这一组合将证明对钢铁制造业有重大好处。我想亨利·马里恩·豪Henry MarionHowe会对炼钢科学技术的进步和未来尚未实现的美好进步印象深刻。致谢
作者对密苏里科技大学的教师、学生和工作人员在这一领域的许多项目上的辛勤工作和支持深表感谢。我特别要感谢Huang Jie、Jeff Smith、Laura Bartlett、Rex Gerald、FarhanMumtaz、Bohong Zhang、Roman Muhammad、Dinesh Reddy Alla、DevaPrasaad Neelakandan、Hanok Tekle、OgboleInalegwu、Abhishek Prakash Hungund、Todd Sander和其他许多人对这些作品做出的重要贡献。本材料部分基于美国能源部能源效率和可再生能源办公室(EERE)在先进制造办公室奖励编号DE-EE0007613, DE-EE0009119和DE-EE0009392下支持的工作,我们对此表示感谢。我们还要感谢美国钢铁创始人协会、美国国国防后勤局根据主要协议编号SP4701-20-C-0076,通过子合同编号SPI016提供的支持。这项研究部分由国防后勤局信息作战、J68、研究与发展部门支持赞助。我也感谢我们的PSMRC行业合作伙伴,美国钢铁协会,以及更大的钢铁行业对这项研究的大力支持。我还要感谢AIST的工作人员和成员多年来对我们大学和钢铁行业的支持。免责声明
本报告是作为对美国政府各机构赞助的工作的叙述而编写的。美国政府或其任何机构,或其任何雇员,均不对所披露的任何信息、设备、产品或过程的准确性、完整性或有用性作出任何明示或暗示的保证,或承担任何法律责任或责任,或表示其使用不会侵犯私人拥有的权利。在此以商品名称、商标、制造商或其他方式提及任何特定商业产品、工艺或服务,并不一定构成或暗示其得到美国政府或其任何机构的认可、推荐或青睐。作者在此表达的观点和意见并不一定陈述或反映美国政府或其任何机构的观点和意见。
参考文献
1. Austin, J.B., “Henry Marion Howe,” MetallurgicalTransactions, Vol. 1, No. 7, 1970, pp. 1795–1803.2. Herty Jr., C., “Henry Marion HoweMemorial Lecture,” Trans. AIME, Vol. 140, 1940, pp. 13–30.3. Sims, C.E., and Briggs, C.W., “A Primeron Deoxidation,” JOM, Vol. 11, No. 12, 1959, pp. 815–822.4. Flemings, M.C., “SolidificationProcessing,” Metallurgical and Materials Transactions B, Vol. 5, No. 10,1974, pp. 2121–2134.5. Turkdogan, E., “Blast FurnaceReactions,” Metallurgical Transactions B, Vol. 9, No. 2, 1978, pp.163–179.6. Pehlke, R.D., “Steelmaking — The JetAge,” Metallurgical Transactions B, 1980, pp. 539–562.7. Szekely, J., “Radically InnovativeSteelmaking Technologies,” Metallurgical Transactions B, Vol. 11, No. 3,1980, pp. 353–371.8. Geiger, G.H., “Steel at the Millennium,”Metallurgical and Materials Transactions B, Vol. 31, No. 4, 2000, pp.561–575.9. Cramb, A., “From Liquid to Solid: KeyIssues in the Future of Steel Casting,” Iron & Steel Technology, Vol.4, No. 7, 2007, pp. 59–75.10. Matlock, D.K., “Dual-Phase Steels — ALook Back With an Eye to Advanced High-Strength Sheet Steel Innovations,” AISTech2011 Conference Proceedings, 2011.11. Sahajwalla, V., et al., “The Power ofSteelmaking — Harnessing High-Temperature Reactions to Transform Waste Into RawMaterial Resources,” Iron & Steel Technology, Vol. 10, No. 8, 2013,pp. 68–83.12. Scalabre, O., “Industry 4.0 — The NineTechnologies Transforming Industrial Production,” 2018, https: // www.bcg.com/en-us/capabilities/operations/embracing-industry-4.0-rediscovering-growth.aspx.13. Woodford, C., “Fiber Optics,” 2006/2020,cited 4 February 2023, https: // www. explainthatstuff. Com / fiberoptics.html.14. Edlén, B., “The Refractive Index ofAir,” Metrologia, Vol. 2, No. 2, 1966, p. 71.15. Zhu, C., et al., “A Miniaturized OpticalFiber Tip High- Temperature Sensor Based on Concave-Shaped Fabry– PerotCavity,” IEEE Photonics Technology Letters, Vol. 31, No. 1, 2018, pp.35–38.16. Mihailov, S.J., “Fiber Bragg GratingSensors for Harsh Environments,” Sensors, Vol. 12, No. 2, 2012, pp.1898– 1918.
作者
Ronald J. O’Malley:F. Kenneth Iverson Chair Professorand Director, PSMRC。MissouriUniversity of Science andTechnology
唐杰民2023年7月底8月初翻译自米国《钢铁技术》今年8月期刊,本人对自动化过程和检测知识了解不多,翻译不准不妥之处请各位看官给予指正。版权声明:本文来源:唐杰民冶金40年,由 #轧钢之家 整理发布,版权归原作者所有。转载请注明来源;文章内容如有偏颇,敬请各位指正;如标错来源或侵权,请跟我们联系。欢迎关注微信公众号【轧钢之家】ID:zhagangzhijia,欢迎合作:15092009951。