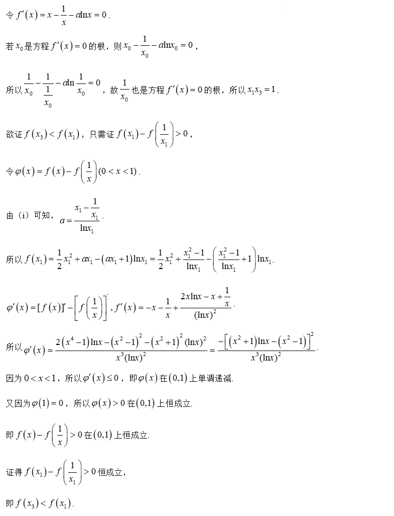
广东省大湾区2026届高三上10月联考数学试题与参考答案
帅明数学 2025-10-24
曾获全国高中数学联赛一等奖,保送至中国科学技术大学曾任学而思高考自招体系负责人,数学竞赛集训队教练,高中数学尖端班老师曾任腾讯科技(深圳) 有限公司在线教育部高中数学总负责人曾获腾讯在线教育绩效突出奖,腾讯在线教育优秀员工奖(五星员工)曾获学而思优秀教师 (常年S级)、功底之王(功底测TOP3)2025、2022、2021年均有学员高考总分被屏蔽(均为深圳市考生),累计6人(2025年历史类省前10,2022年物理类省前11、历史类省前5,2021年物理类省前20)2021、2022、2023、2025年均有学员获深圳市一模二模总分全市前三线上线下累计辅导学员15万+,课程好评率99%,辅导近千名学生考入清华、北大、复旦、上交、中科大、浙大、人大等高校风趣幽默,贴近学生,注重思维培养,擅于总结方法和题型对高考题型烂熟于胸,让学生掌握题型,而不单单是掌握题目