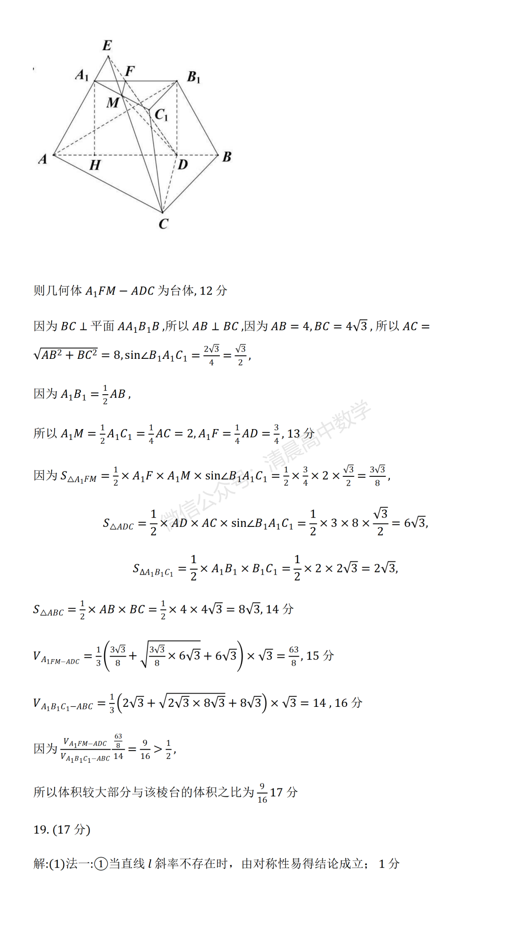
清晨高中数学 2026-01-27
【文末附电子版获取方式】
无水印电子版已上传至【26届高考数学会员群】
【点击下图】了解【高考数学会员群】:
【欢迎添加微信(gaokao34),更多精品资料请留意朋友圈动态】