



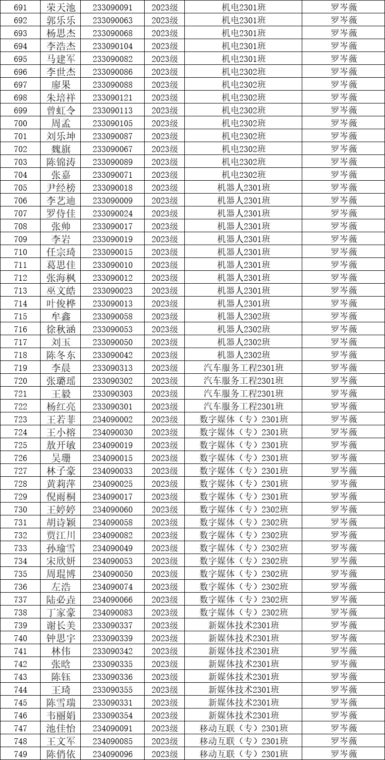
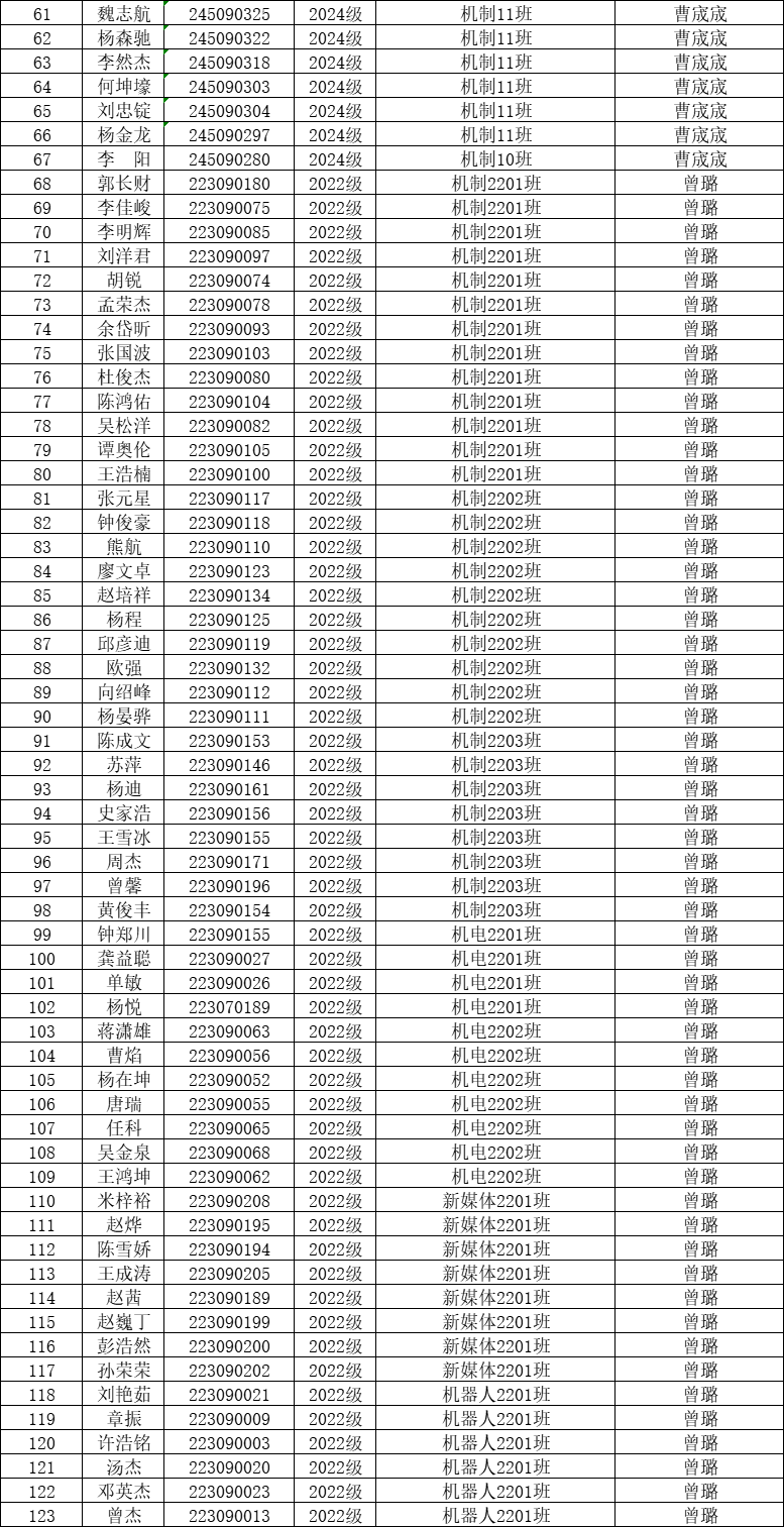
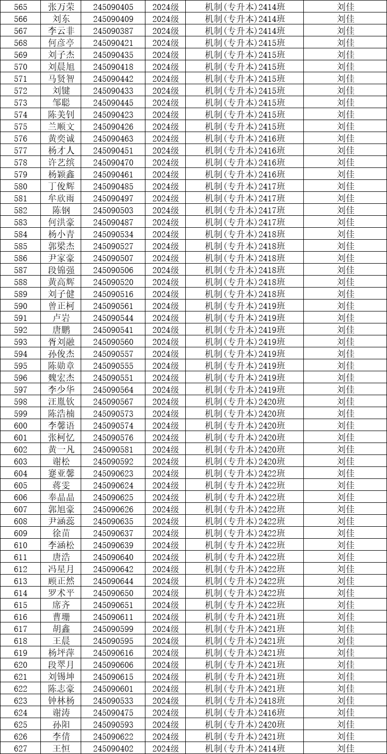
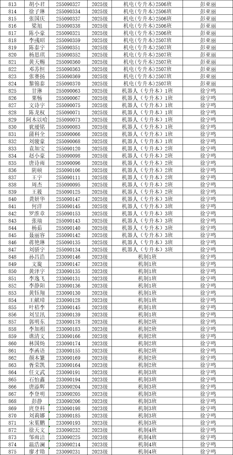
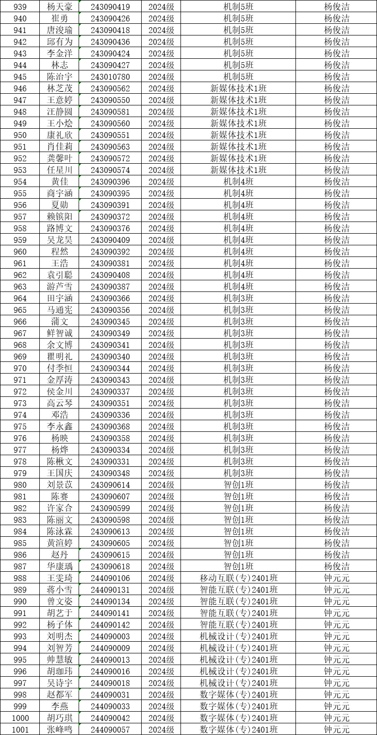
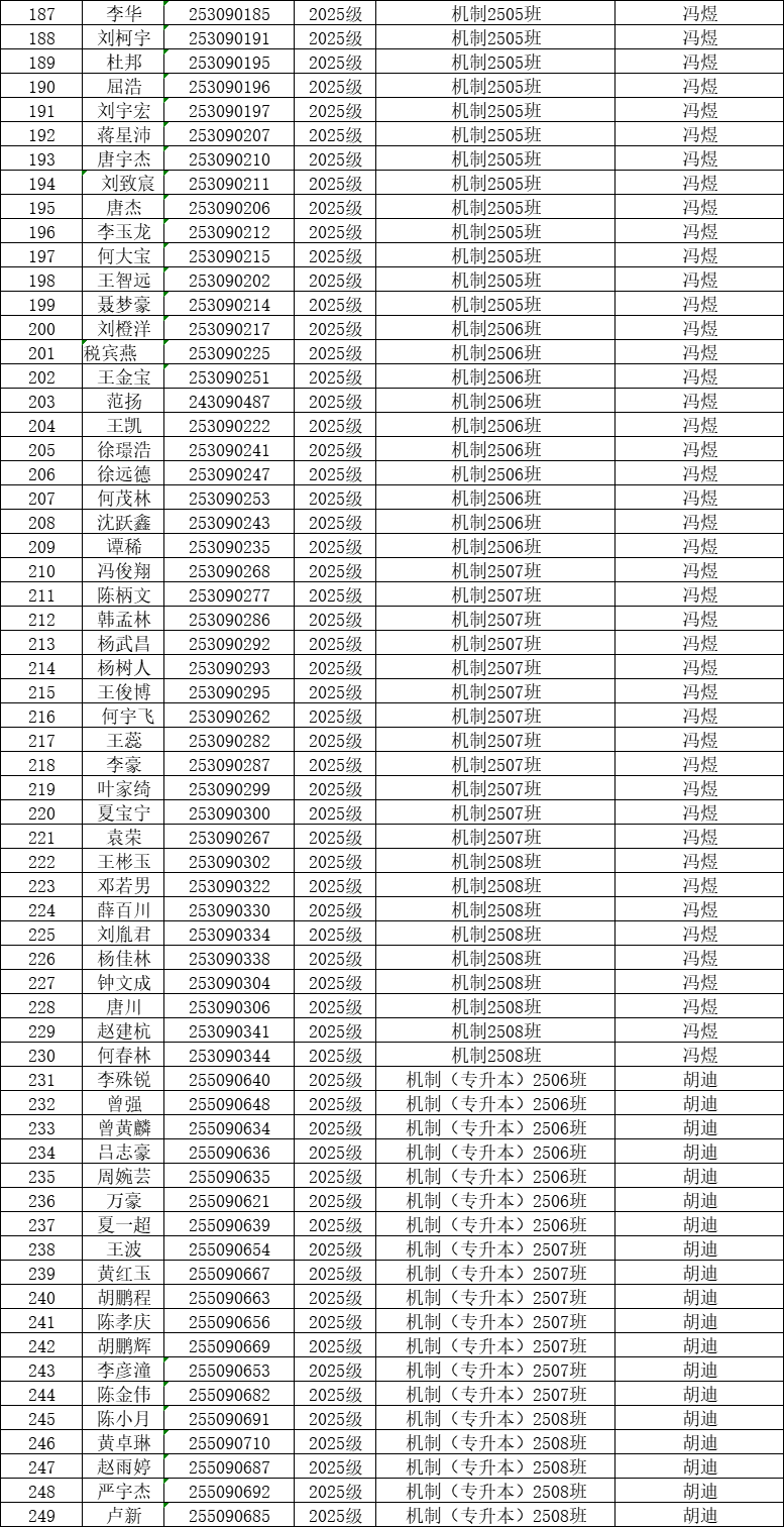
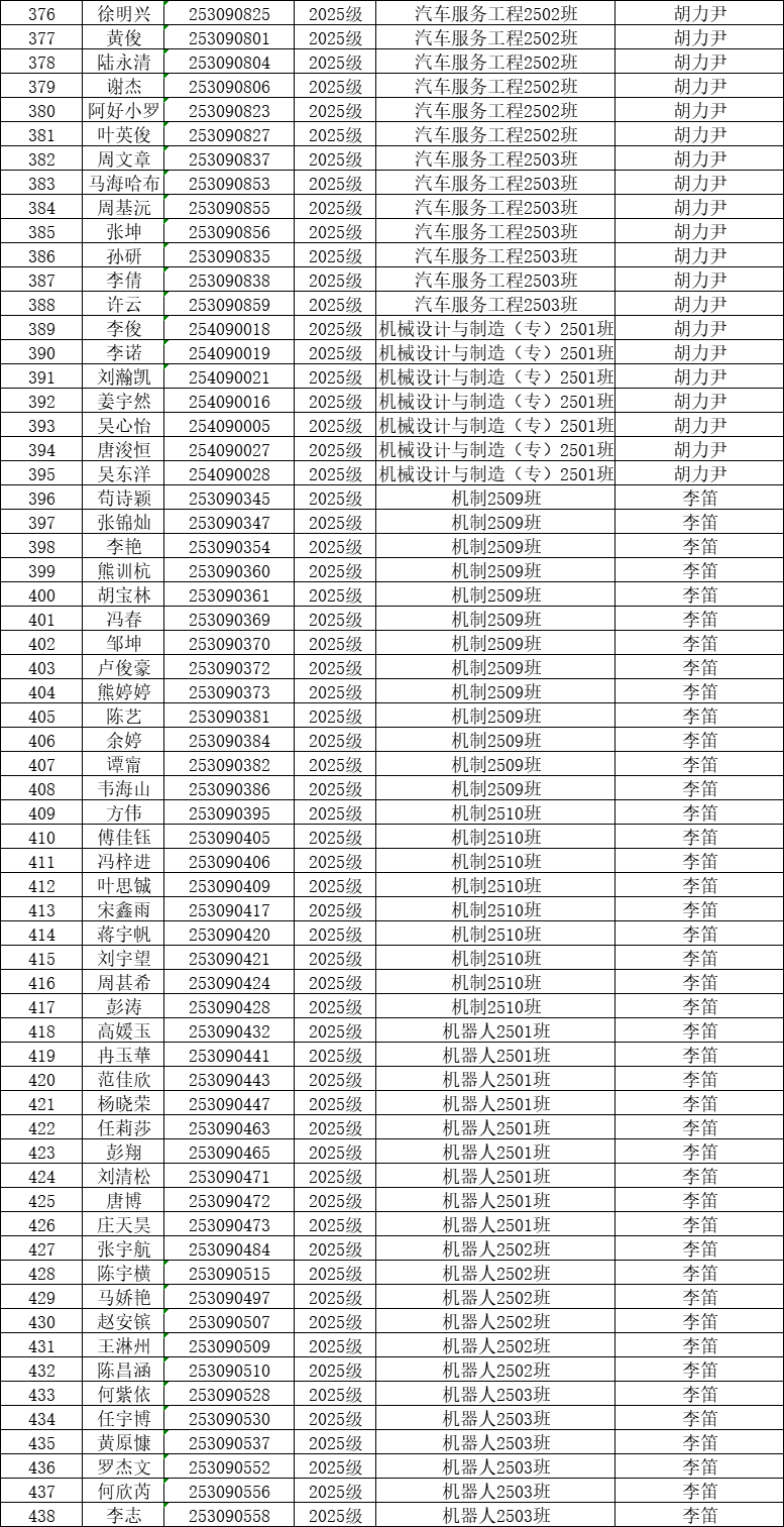
—“国家助学金”名单公示—

根据《成都锦城学院关于切实做好2025年秋季国家奖学金、国家励志奖学金、国家助学金的通知》和《成都锦城学院国家奖学金、 国家励志奖学金、国家助学金评选实施细则》的要求,智能制造学院本着公平、公正、公开的原则,按照本人申请、班级评议、小组评议、学院评审小组审查等程序进行评选。
特对智能制造学院国家助学金的候选人进行公示,具体名单如下。























公示时间:2025年10月16日-10月22日。如有异议,请于10月22日下午17点前,以实名制的方式将有关情况向智能制造学院反映。
受理电话:
87582780 87581200
87581214 87582770
办公室:和平大楼西楼103、117、105、111、134


智不可挡 造就未来
图文来源|宣传中心
责任编辑|陈康玲 王乾
主任编辑|华康瑀 尹晨阳 胡鹏程
一审|钟思宇 胡悦
二审|韩硕
三审|刘佳
抖音号:73824138763
公众号:智能MFG 抖音号:锦智未来


欢迎扫码关注
